惯性矩的国际单位为m⁴。
惯性矩(moment of inertia of an area),一个几何量,通常被用作描述截面抵抗弯曲的性质。即面积二次矩,也称面积惯性矩。
常见截面的惯性矩公式:
1、矩形
其中:b—宽;h—高;
2、三角形

其中:b—底长;h—高;
3、圆形

其中:d—直径;
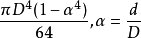
4、圆环形
其中:d—内环直径;D—外环直径。

扩展资料
任意截面图形内取微面积dA与其搭配z轴的距离y的平方的乘积y²dA定义为微面积对z轴的惯性矩,在整个图形范围内的积分则称为此截面对z轴的惯性矩Iz。
截面各微元面积与各微元至截面上某一指定轴线距离二次方乘积的积分。
惯性矩平移公式:
这里, Iz是对于z-轴的面积惯性矩、 Ix是对于平面质心轴的面积惯性矩、 A是面积、 d是 z-轴与质心轴的垂直距离。
参考资料来源:百度百科-惯性矩
参考资料来源:百度百科-截面惯性矩
