求一个式子的原函数,则需将其进行积分。
本题具体做法如下:
∫cos²xdx
=½∫(1+cos2x)dx
=½∫dx+¼∫cos2xd(2x)
=½x+¼sin2x +C
因此,cos²x的原函数为:f(x)=½x+¼sin2x +C,C为积分常数,需要根据给定条件求得。
拓展材料:
原函数:
原函数是指对于一个定义在某区间的已知函数f(x),如果存在可导函数F(x),使得在该区间内的任一点都存在dF(x)=f(x)dx,则在该区间内就称函数F(x)为函数f(x)的原函数。
原函数存在定理:
若函数f(x)在某区间上连续,则f(x)在该区间内必存在原函数,这是一个充分而不必要条件,也称为“原函数存在定理”。
函数族F(x)+C(C为任一个常数)中的任一个函数一定是f(x)的原函数,
故若函数f(x)有原函数,那么其原函数为无穷多个。[2]
例如:x3是3x2的一个原函数,易知,x3+1和x3+2也都是3x2的原函数。因此,一个函数如果有一个原函数,就有许许多多原函数,原函数概念是为解决求导和微分的逆运算而提出来的。
例如:已知作直线运动的物体在任一时刻t的速度为v=v(t),要求它的运动规律 ,就是求v=v(t)的原函数。原函数的存在问题是微积分学的基本理论问题,当f(x)为连续函数时,其原函数一定存在。
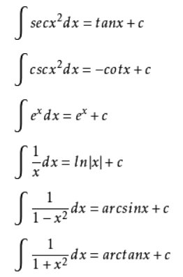
典型原函数:


参考资料:https://baike.baidu.com/item/原函数/2749968
