博问十

  • 网站首页
  • 百科知识
  • 百科问答
  • 生活百科
位置:首页> 百科知识>

网页版百度翻译无法使用

时间:2026-02-27 10:18:00 浏览:839次

首先打开谷歌浏览器点击右上角的三条杠图标。

网页版百度翻译无法使用

2

接着点击·设置。

网页版百度翻译无法使用

3

然后点击显示高级设置。

网页版百度翻译无法使用

4

然后选择语言中的语言和输入设置。

网页版百度翻译无法使用

5

最后选择需要翻译的语言就可以了。

网页版百度翻译无法使用

标签:网页,百度,翻译

相关文章

百度知道登陆

百度知道登陆

百度除了具有5大优势以外还具有哪些优势?

百度除了具有5大优势以外还具有哪些优势?

翻译一下前奏英语说唱是什么?(和不爱你的人说再见)DJ的

翻译一下前奏英语说唱是什么?(和不爱你的人说再见)DJ的

  • 1 百度消费金融有限公司是合法的吗? 832 阅读
  • 2 百度是哪一国的网站 890 阅读
  • 3 百度贴吧新改行的高清头像要求尺寸是多少 869 阅读
  • 4 百度贴吧怎么翻不了页了? 871 阅读
  • 5 百度有什么冷门小众的交友网站? 879 阅读

热门文章

  • 梦见孩子拉屎

    梦见孩子拉屎

    02-08 971次
  • DNF御龙至尊力和御龙至尊智的区别

    DNF御龙至尊力和御龙至尊智的区别

    12-17 960次
  • 主动脉夹层动脉瘤

    主动脉夹层动脉瘤

    02-10 957次
  • rar32位和64位有什么区别

    rar32位和64位有什么区别

    12-17 953次
  • 亳州一中南校的教学质量怎么样呢?

    亳州一中南校的教学质量怎么样呢?

    12-17 953次
  • 酒糟鼻会自愈吗?

    酒糟鼻会自愈吗?

    12-17 952次

推荐文章

kg是多少公斤呢?

kg是多少公斤呢?

行书是什么意思

行书是什么意思

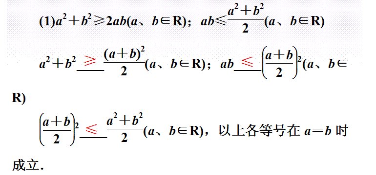
基本不等式的变形公式一共有几个

基本不等式的变形公式一共有几个

000是什么电话?

000是什么电话?

刘銮雄为何讽刺蔡少芬?

刘銮雄为何讽刺蔡少芬?

新币兑换人民币汇率是多少

新币兑换人民币汇率是多少

祖玛的来历是什么

祖玛的来历是什么

什么是rtsp rtsp协议有什么特点

什么是rtsp rtsp协议有什么特点

知页永久会员怎么来的

知页永久会员怎么来的

ha是什么单位呢?

ha是什么单位呢?

博问十,是权威百科知识平台,涵盖科学、历史、生活、儿童启蒙等全领域内容!提供精准科普解读与详细知识查询,满足学习、日常解惑、知识积累需求,是靠谱的专属知识宝库!

CopyRight © 2025 网站地图 - 闽ICP备2025116981号-4 - 联系邮箱:1465333496@qq.com