一、概述
石灰岩是碳酸盐岩的主要岩石类型,在地壳中分布广泛,约占沉积岩总面积的20%,并且在各时代底层均有产出。许多金属、非金属矿床和石油、天然气的产出均与石灰岩等碳酸盐岩有关。在建筑、冶金、化工、轻工、食品、石油、农业等诸多领域中,具有广泛的用途,是水泥工业的重要原料。
二、矿物性质
石灰岩的化学分子式为 CaCO3,化学成分以 CaO 为主,一般为45%~55%;次为 MgO、SiO2、Al2O3,Fe2O3、K2O、Na2O等,但含量很少,化学分析中烧失量可达35%~50%。
石灰岩不溶于水,遇稀盐酸剧烈起泡,放出 CO2。石灰岩煅烧至900℃以上时分解转化为石灰(CaO),放出CO2。生石灰遇水潮解,立即形成熟石灰[Ca(OH)2],熟石灰溶于水后可调浆,在空气中易硬化。
石灰岩的矿物成分主要为方解石,伴有白云石、菱镁矿和其他碳酸盐矿物,此外还含有石髓、蛋白石、粘土矿物、黄铁矿、海绿石、石膏、硬石膏、磷酸盐矿物等,个别类型的石灰岩中还有煤、沥青等有机质、碱金属化合物及锶、钡、锰、钛、氟等化合物,但含量很低。颜色为无色、白色、灰色、灰白色,含有杂质时变为灰黄、浅红或蓝绿色。条痕无色,玻璃光泽。断口呈参差状,硬度3,密度2.6~2.8g/cm3。石灰具有导热性、坚固性、吸水性、不透气性、隔音性、磨光性、很好的胶结性能、可加工性等优良的性能。
三、用途
石灰岩广泛用于建材、冶金、化工、建筑工程等多个工业部门,既可直接利用原矿,也可深加工应用。
1)水泥原料。石灰岩是生产硅酸盐水泥的主要原料,石灰岩与粘土质原料、硅质原料、铁粉等配合,可煅烧成水泥熟料,其用量为一般水泥原料的80%左右。
2)制造生石灰。石灰岩经煅烧后生成CaO,即生石灰,再经水解生成Ca(OH)2,即熟石灰,是一种硬性的胶凝材料,广泛用于建筑业。
3)冶金熔剂。主要用作冶炼生铁、钢和有色金属的熔剂。
4)化工工业。在化工工业中用于制碱、制造电石、制造氮肥与磷肥。
5)质纯的石灰岩经粉碎后,可作为填料广泛用于油漆、塑料、造纸、涂料、橡胶、建筑密封剂等方面。
6)用于制糖、玻璃、陶瓷、印刷等工业领域。
7)加工成石材,用于建筑装饰。
四、地质特征
岩浆岩中的方解石是碳酸岩的主要矿物成分,热液脉中的方解石是常见的脉石矿物。碳酸钙质沉积主要是生物和生物化学的沉积作用,发生在温暖气候条件下海盆边缘的浅海环境和水体清洁的海域。
一般石灰岩矿床分为以下类型。
1)化学沉积矿床。是最主要的石灰岩矿床类型,按其岩性又可分为泥晶石灰岩矿床和鲕状石灰岩矿床两种。泥晶石灰岩矿床的成矿时代与分布范围广泛,几乎各主要赋矿地层中均有产出。典型矿床有河北邯郸峰峰、四川峨眉山、安徽铜陵伞形山等水泥石灰岩矿床。此类型矿床矿体形态一般较简单,呈层状或似层状,走向延伸可达几千米,厚度几米至几十米甚至上百米,矿床规模以大、中型为主。矿石一般呈灰—深灰色,泥晶结构,块状构造。化学成分纯净,杂质含量少,是优质水泥的石灰质原料。鲕粒石灰岩的形成与波浪水流作用有关,常具大型交错层理。这种矿床矿体形态以层状为主,层位较稳定,厚度几米至几十米,矿床规模以大、中型为主。矿石颜色从浅至暗色均有,粒屑结构,亮晶胶结为主,块状构造。
2)机械碎屑沉积矿床。主要分布于中国北方上寒武统和下奥陶统,南方上泥盆统和下三叠统也有产出。一般是在海水进退频繁、振荡运动强烈和沉积环境常常变化的条件下,由于潮汐波浪对碳酸盐沉积物反复剥蚀、搬运、沉积的结果,在潮上带或潮间带成矿。岩性以砾屑、砂屑、粉屑石灰岩为主,常夹有泥晶石灰岩和鲕粒石灰岩。山西大同七峰山、山东青州明祖山、广西柳江劳稿山等水泥石灰岩矿床均属于此类型。矿体形态呈层状、似层状,厚几米至十几米,矿床规模为小到大型。矿石呈浅灰、灰褐或灰黄色,粒屑结构,薄层状构造,泥晶或亮晶胶结,泥质、铁质含量较高,常见生物碎屑如腕足类、三叶虫、介形虫、棘皮屑等,化学成分变化较大,CaO含量一般较低,由于沉积环境蒸发作用较强烈,易形成高镁卤水,使石灰岩发生白云岩化,MgO含量往往偏高。
3)生物化学沉积矿床。常以富含生物碎屑为标志,在南方和北方都有分布,尤其是南方地区的上古生界中最发育。例如,浙江、江苏、安徽、江西等地石炭系中统的黄龙灰岩是以
4)重结晶矿床。由于岩浆侵入和区域变质作用,石灰岩经重结晶后而形成的。黑龙江、新疆、辽宁、内蒙古等地的水泥大理岩矿床均属于此类型,例如,黑龙江阿城新明、新疆和静热呼等水泥大理岩矿床。石灰岩经重结晶后成为结晶灰岩或大理岩,矿石密度较大,硬度高。矿体形态一般较复杂,有层状、似层状、透镜状、巢状等,矿床规模以中、小型为主。大理岩的化学成分较稳定,CaO含量一般大于52%,MgO含量低。该类矿床常因硅化作用而影响矿石的质量,同时岩脉发育,影响开采利用。
五、矿床分布
我国是世界上石灰岩矿资源丰富的国家之一,石灰岩资源分布范围广、储量大、质量优,地表石灰岩远景储量十分巨大。石灰岩矿产在每个地质时代都有沉积,各个地质构造发展阶段都有分布,但质量好、规模大的石灰岩矿床往往赋存于一定的层位中。
古元古代石灰岩主要分布在内蒙古、黑龙江、吉林中部和河南信阳、南阳一带,以大理岩为主。
中、新元古代石灰岩资源主要分布在辽东半岛、天津、北京、江苏北部、甘肃、青海、福建等地,主要岩性为硅质灰岩、燧石灰岩等。
寒武纪石灰岩资源分布在山西、北京、河北、山东、安徽、江苏、浙江、河南、湖北、贵州、云南、新疆、青海、宁夏、内蒙古、辽宁、吉林、黑龙江等地,以鲕状灰岩、纯灰岩、竹叶状灰岩、薄层白云质灰岩为主。
奥陶纪石灰岩资源分布在黑龙江、内蒙古、吉林、辽宁、北京、河北、山西、河南、陕西、甘肃、青海、新疆、四川、贵州、湖北、安徽、江苏、江西等地,主要岩性为薄层、厚层纯灰岩、白云质灰岩,斑状灰岩、砾状灰岩等。
志留纪石灰岩主要分布在新疆托克逊、青海格尔木、甘肃、内蒙古等地,主要岩性为泥质灰岩、硅质灰岩、结晶灰岩等。
泥盆纪石灰岩资源主要分布在广西、湖南、贵州、云南、广东、黑龙江、新疆、陕西、四川等地,主要岩性为厚层纯灰岩、白云质灰岩、结晶灰岩、薄层灰岩、泥质灰岩等。
石炭纪石灰岩资源主要分布在江苏、浙江、安徽、江西、福建、广西、广东、四川、湖北、河南、湖南、陕西、新疆、甘肃、青海、云南、贵州、内蒙古、吉林、黑龙江等地,主要岩性为厚层纯灰岩、厚层灰岩夹砂页岩、白云质灰岩、大理岩、结晶灰岩等。
二叠纪石灰岩资源主要分布在四川、云南、广西、广东、福建、浙江、江西、安徽、江苏、湖北、湖南、陕西、甘肃、青海、内蒙古、黑龙江、吉林等地,主要岩性为厚层灰岩、燧石灰岩、硅质灰岩、白云岩化灰岩、大理岩等。
三叠纪石灰岩资源主要分布在广西、云南、贵州、四川、广东、江西、福建、甘肃、青海、浙江、江苏、安徽、湖南、湖北、陕西等地,主要岩性为泥质灰岩、厚层灰岩、薄层灰岩等。
侏罗纪石灰岩资源主要分布在四川自贡地区,以内陆湖相沉积石灰岩为主。
古近-新近纪石灰岩资源主要分布在河南新乡、郑州地区,以泥灰岩、松散碳酸钙为主。
六、可供资源
我国石灰岩按用途可划分为水泥用石灰岩、冶金用石灰岩、石灰用石灰岩、化工用石灰岩、建筑用石灰岩、饰面用石灰岩等。截止2005年底,我国查明石灰岩矿产地2050处,其中水泥用石灰岩1554处,建筑和饰面用石灰岩矿产地65处,其余矿产地431处。建筑用石灰岩查明资源储量13116×104m3,饰面用灰岩查明资源储量 11040.77×104m3,其余矿产查明资源储量914.62×108t。
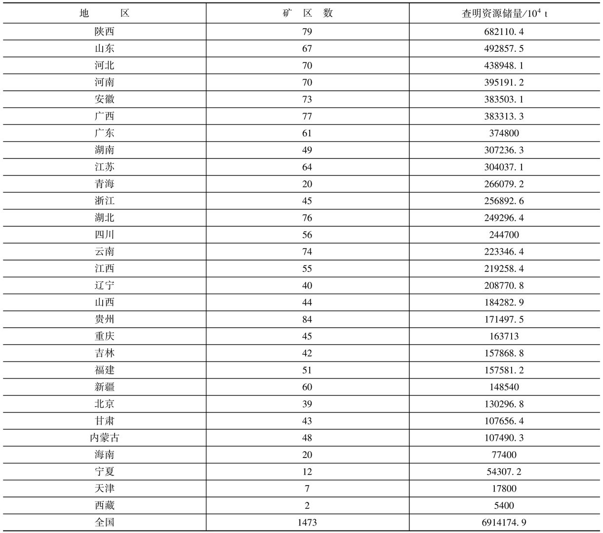
我国主要石灰岩矿点查明资源储量分布见表2-52-1、表2-52-2和表2-52-3。

表2-52-1 中国主要石灰岩矿点查明资源储量的情况

表2-52-1 中国主要石灰岩矿点查明资源储量的情况
(据国土资源部《全国矿产资源储量通报》,2005)

表2-52-2 中国建筑用石灰岩主要矿点储量的分布

表2-52-2 中国建筑用石灰岩主要矿点储量的分布
(据国土资源部《全国矿产资源储量报告》,2005)
表2-52-3 中国饰面用石灰岩主要矿点储量的分布
表2-52-3 中国饰面用石灰岩主要矿点储量的分布
(据国土资源部《全国矿产资源储量通报》,2005)
