【求解答案】

【求解思路】
1、利用等差数列的通项公式及前n项和公式,列出方程组,即
当n=4时,

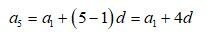
当n=5时,

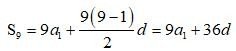
当n=9时,

2、根据已知条件,a5=2a4,s9=108,求出首项a1和公差d
3、根据首项a1和公差d值,写成等差数列{an}的通项公式。
【求解过程】

【本题相关知识点】
1、数列。数列是以正整数集(或它的有限子集)为定义域的一列有序的数。数列中的每一个数都叫做这个数列的项。排在第一位的数称为这个数列的第1项(通常也叫做首项),排在第二位的数称为这个数列的第2项,以此类推,排在第n位的数称为这个数列的第n项,通常用an表示。
著名的数列有斐波那契数列,卡特兰数,杨辉三角等。
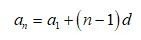
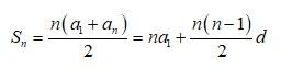
2、等差数列。一般地,如果一个数列从第2项起,每一项与它的前一项的差等于同一个常数,这个数列就叫做等差数列,这个常数叫做等差数列的公差,公差通常用字母d表示,前n项和用Sn表示。等差数列可以缩写为A.P.
通项公式:

前n项和公式:

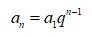
3、等比数列。一般地,如果一个数列从第2项起,每一项与它的前一项的比等于同一个常数,这个数列就叫做等比数列。这个常数叫做等比数列的公比,公比通常用字母q表示。等比数列可以缩写为G.P.
通项公式:

前n项和公式:

