价差预备费一般根据国家规定的投资综合价格指数,按照估算年份价格水平的投资额为基数,采用复利方法计算。
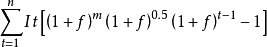
价差预备费公式: PF=

式中,
PF:价差预备费,
n :建设期年份数,
It :建设期第t年的静态投资额,
f:年涨价率,
m:建设前期年限(从编制投资估算到开工建设,单位:年)
其中年涨价率,政府部门有规定的按规定执行,没有规定的由可行性研究人员预测。
价差预备费是指为在建设期内利率、汇率或价格等因素的变化而预留的可能增加的费用,亦称为价格变动不可预见费。
由于如下原因导致费用增加而预留的费用:
(1)设计变更导致的费用增加;
(2)不可抗力导致的费用增加;
(3)隐蔽工程验收时发生的挖掘及验收结束时进行恢复所导致的费用增加。基本预备费一般按照前五项费用(即建筑工程费、设备安装工程费、设备购置费、工器具购置费及其他工程费)之和乘以一个固定的费率计算。其中,费率往往由各行业或地区根据其项目建设的实际情况加以制定。

扩展资料:
价差预备费的内容包括:人工、设备、材料、施工机械的价差费,建筑安装工程费及工程建设其他费用调整,利率、汇率调整等增加的费用。
价差预备费一般根据国家规定的投资综合价格指数,按照估算年份价格水平的投资额为基数,采用复利方法计算。
在建设期内可能发生的材料、人工、设备、施工机械等价格上涨,以及费率、利率、汇率等变化,而引起项目投资的增加,需要事先预留的费用,涨价预备费是站在承包人的角度编制的,它没有考虑从编制估算到项目开工这段时间这段时间项目投资的时间价值。
其不同于价差预备费,价差预备费是站在发包人的角度,考虑从编制投资估算开始一直到项目竣工这段时间的涨价风险;它们的计算公式也不相同。
某建设项目建安工程费5000万元,设备购置费3000万元,工程建设其他费用2000万元,已知基本预备费5%。项目建设前期年限为1年,建设期为3年,各年计划额为第一年完成投资20%,第二年60%,第三年20%,年均投资上涨率为6%,求建设项目建设期间涨价预备费。
基本预备费=(5000+3000+2000)×5%=500万元
静态投资=5000+3000+2000+500=10500万元
建设期第一年完成投资=10500×20%=2100万元
第一年涨价预备费为:PF1=2100[(1+6%)-1] =126万元
第二年完成投资=10500×60%=6300万元
第二年涨价预备费为:PF2=6300[(1+6%)(1+6%)-1]=778.69万元
第三年完成投资=10500×20%=2100万元
第三年涨价预备费为:PF3=2100[(1+6%)(1+6%)(1+6%)-1]=401.13万元
所以,建设期的涨价预备费为:PF=126+778.69+401.13=1305.82万元
参考资料:
价差预备费一般根据国家规定的投资综合价格指数,按照估算年份价格水平的投资额为基数,采用复利方法计算。
价差预备费公式: PF=

式中,
PF:价差预备费,
n :建设期年份数,
It :建设期第t年的静态投资额,
f:年涨价率,
m:建设前期年限(从编制投资估算到开工建设,单位:年)
其中年涨价率,政府部门有规定的按规定执行,没有规定的由可行性研究人员预测。
价差预备费是指为在建设期内利率、汇率或价格等因素的变化而预留的可能增加的费用,亦称为价格变动不可预见费。
楼上都已经给出了公式,不再赘述。
该公式有几个假设条件:1、当年年初投资,年中支付。即当年涨价的钱按半年滚利一次。2、按复利考虑。
需要注意的是:1、It是静态投资计划额,是在建设前期计算出来的,是按当年的价格水平计算的,比如你2018年计算的肯定是按18年的价格水平。所以考虑资金的时间价值,到你开工的时候就已经滚利m年了。

